Our
Blog
Technical insights, product development lessons, and practical guides on building software that delivers results.
Creating monorepos on Github
Building a sample monorepo project with Rush, pnpm and Github Actions


Start your project with React and Tailwind CSS
Beginner-friendly guide on how to set up React and Tailwind CSS.

From Figma to a website in a week
A unique hands-on approach to learn Software Development.

Progressive Web App with ReactJS and Service Workers
A beginners guide for creating a progressive web app with react js.

Getting started with three.js and electron.js.
This is a simple guide on how to get started with three.js, a WebGL library with electron.js, a library for building a cross-platform desktop application. This is not a detailed Three.js and Electron.js article.

Let’s look at the different sorting algorithms
Leverage the power of sort when you have to

Intermediate Dart Programming with Object Orientation and Generics
In this article, I will try my best to introduce you to Dart by starting with the foundation of Object Oriented Design, Generic System and conclude with taking about File System in Dart.

Set Up CI/CD in Flutter Using Codemagic
Where magic happens at every push
Why jest.mock() must be called at the top level?
Why jest.mock() must be called at the top level to ensure proper module mocking in Jest tests.

Comes let us write some tests for our Flutter application
Testing our Flutter Application with a Unit testing, Widget testing and Integration testing.

Sign Up and Sign In using Firebase in iOS
Add an authentication system in your iOS application.

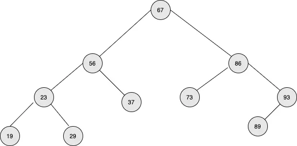
What is a Binary Search Tree?
One of the ways you can implement Binary Search Tree in C++

Validate your API Request with Ajv in NodeJS
Ditch the manual check for request. Automate using AJV.
Simplifying Software Development with Design Patterns
Unlocking the Power of Design Patterns to Streamline Your Code and Boost Productivity

Rabin-Karp in JavaScript
Search your keyword by implementing the Rabin-Karp algorithm.

Upload images to Cloudinary in NodeJS
Leverage the power of Cloudinary and Multer to save an image.
Insights That
Matter
No spam. Just occasional updates on technology, product development, and what we're building.